SuperADAM
CRG - Advanced Reflectometer for the Analysis of Materials
Role of gallium diffusion in the formation of a magnetically dead layer
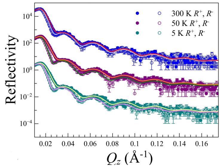
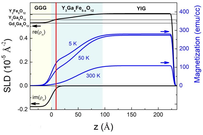
We have clarified the origin of a magnetically dead interface layer formed in yttrium iron garnet (YIG) films grown at above 700 °C onto a gadolinium gallium garnet (GGG) substrate by means of laser molecular beam epitaxy. The diffusion-assisted formation of a Ga-rich region at the YIG/GGG interface is demonstrated by means of composition depth profiling performed by x-ray photoelectron spectroscopy, secondary ion mass spectroscopy, and x-ray and neutron reflectometry. Our finding is in sharp contrast to the earlier expressed assumption that Gd acts as a migrant element in the YIG/GGG system. We further correlate the presence of a Ga-rich transition layer with considerable quenching of ferromagnetic resonance and spin wave propagation in thin YIG films. Finally, we clarify the origin of the enigmatic low-density overlayer that is often observed in neutron and x-ray reflectometry studies of the YIG/GGG epitaxial system.
PHYSICAL REVIEW MATERIALS 2, 104404 (2018) / DOI: 10.1103/PhysRevMaterials.2.104404
